近日,北京谱仪III(BESIII)实验在粲偶素衰变研究中取得重要突破,首次在双π介子质量阈值处观测到一个显著的“阈值增强”结构。该研究成果已于2026年4月8日发表在《物理评论快报》(Phys. Rev. Lett. 136, 141902 (2026))。

图1、ψ(3686) → π⁺π⁻ J/ψ衰变示意图。
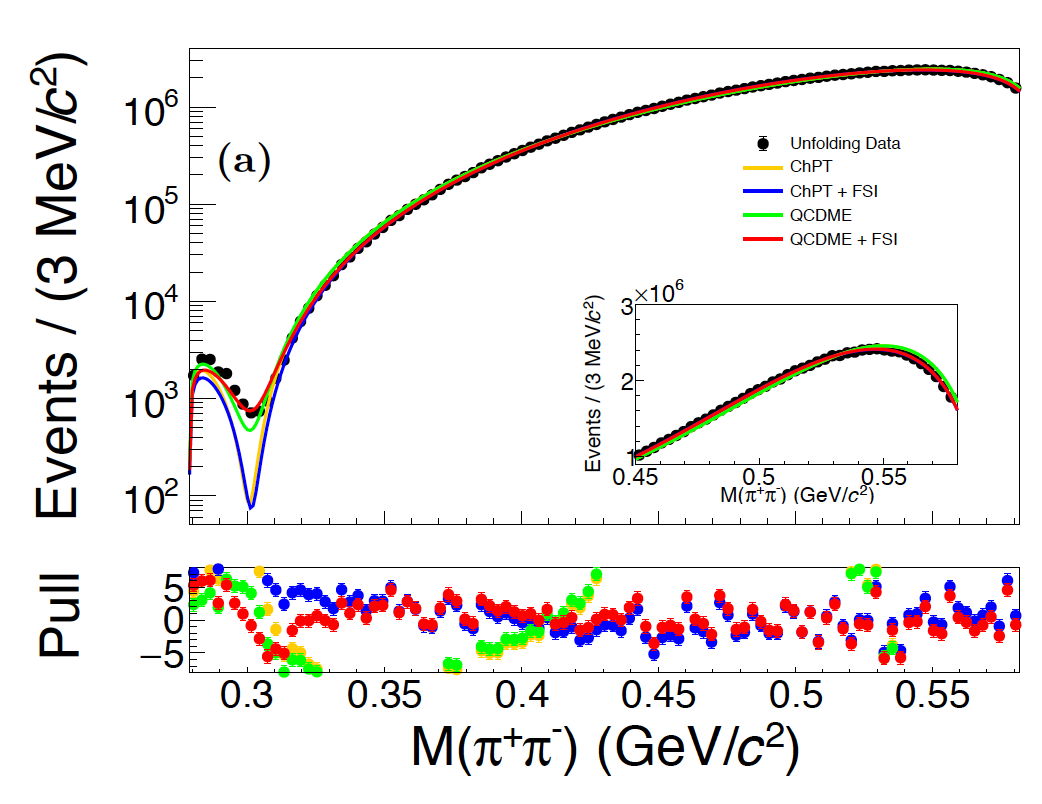
粲偶素是由一个粲夸克和一个反粲夸克构成的束缚态,被视为研究自然界最强作用力,即强相互作用的“天然实验室”。基于BESIII探测器收集的约27亿ψ(3686)事例,研究团队筛选出约3700万个ψ(3686) → π⁺π⁻ J/ψ事例,并开展了前所未有的高精度分析。在绘制的π介子对质量分布图中,一个清晰的峰状结构出现在π⁺π⁻阈值附近。实验测得该结构的质量约为285.6±2.5 MeV/c²,宽度约为16.3±0.9MeV。该结构的宽度远小于实验上观测到的π介子偶素态,暗示其背后存在新的物理机制
为揭示该奇特结构的本质,研究团队采用了两种理论模型进行对比分析。结果表明,若将ψ(3686)视为S波与D波成分的混合态并考虑末态相互作用(FSI),理论计算结果可以较好描述实验观测数据,揭示该奇特结构可能并非一个传统意义上的新粒子,很可能与ψ(3686)粒子内部的复杂结构及其衰变机制密切相关,是一种由强相互作用在衰变瞬间“塑造”出来的奇特量子动力学效应。

图2、π⁺π⁻质量分布与不同理论计算结果的比较。
目前,BESIII实验正在利用含有中性π介子对末态的过程开展进一步研究。无论该结构最终被确认为末态相互作用、新的量子态还是其它新衰变机制,这一成果都为理解强相互作用理论(量子色动力学)在低能非微扰区域的复杂行为打开了一扇全新的高精度观测窗口,必将推动对物质最基本构成及其相互作用力的认识迈向更深层次。
该研究由中国科学院高能物理研究所实验物理中心博士研究生向本后在房双世研究员指导下共同完成,北京谱仪III探测器维护和离线软件团队、北京正负电子对撞机的加速器运行维护团队和高能物理研究所计算中心为数据采集和分析做出了重要贡献,并得到了科技部重点研发计划、国家自然科学基金等资助。
文章链接:https://journals.aps.org/prl/pdf/10.1103/5h6z-p6nl
附件下载:
